Introduction to crystal resonators
來源:http://www.fuleikeji.cn 作者:康華爾電子 2019年11月12
有關于Introduction to crystal resonators。晶振作為石英晶體振蕩器電路中Q分量最高的元器件,在電路中的工作也至關重要,因為晶振對電路可以產生很大的影響。因此,為了可以成功的設計使用晶體振蕩器,設計工程師首先必須了解晶體諧振器。了解Introduction to crystal resonators.SO,對于設計好的振蕩器至關重要的就是選定正確的石英晶體, 這個迷你底漆將涵蓋石英晶體中一些最容易被誤解的參數。
圖1顯示了晶體諧振器的等效電路。 圖1:晶體符號及其單模,1端口,晶體諧振器等效電路
在圖1中,C1,L1和R1構成了晶體諧振器的運動臂。 C 0是并聯電容,主要由晶體的電極加上支架的雜散形成。 分流電容C 0是等效電路中唯一的物理值。 該參數實際上可以使用簡單的電容計測量。 另一方面,運動臂組件(C1,L1和R1)是等效的,因此不是真實的。 請注意,此等效項僅用于基本響應,并且可以為每個泛音和偽造添加附加的運動臂。
圖1的晶體等效電路的阻抗方程為
Where
公式(1.1)是復阻抗,但我們的興趣在于它的虛部或電抗。 圖2對此進行了描述。
圖2:電抗與石英晶振頻率的關系圖
圖2有四個關鍵事實。
首先,f s是運動電容C1抵消運動電感L1的頻率。 其次,f s稱為晶體的“串聯諧振”,用下式表示:
第三,反諧振點或并聯諧振f a,是運動電感L1與C1和C0的并聯組合諧振的地方。 第四,f a表示為
通過改變負載電容來拉動頻率
許多應用需要改變晶體的頻率。 一個示例是VCXO(壓控振蕩器),其中需要將工作頻率調諧到所需的值或在所需的電壓范圍內改變頻率。 隨著與晶體串聯的電容性負載的變化,晶體頻率被拉高。 頻率隨負載電容C L的變化表示為:
Where
f L =負載電容的頻率
f s =串聯諧振頻率
C 1 =晶體的運動電容
C o =晶體的并聯電容
注意,方程(1.4)被寫為從串聯諧振頻率到負載諧振頻率的增量。 換句話說,分數頻率從fs變為f L。
減小負載電容的值將增加晶體的頻率。 最終,將達到f a的頻率,但在晶體振蕩器中應避免使用。 這導致
(1.6)的結果是到極點的分數頻率距離,即f a至f s。 這被稱為零到極點間距,它設置了晶體總可拉性的極限。
典型拉伸曲線的(1.4)的圖形表示:
圖3:方程圖(1.4)。 典型晶體頻率牽引曲線與負載電容的關系
其中運動電容C1 = 0.01 pF,并聯電容C0 = 5 pF。 當該晶體與20 pF串聯時,該頻率比串聯諧振頻率高+ 200 PPM。
等式(1.4)相對于C L的一階導數為
晶體制造商將晶體給定的負載電容的方程式(1.7)稱為“微調靈敏度”。 圖4是“修剪靈敏度”的圖形表示。
圖4:方程(1.7)的圖。 典型的晶體微調靈敏度與負載電容的關系,其中動電容C1 = 0.01 pF,而分流電容C0 = 5 pF。
在10 pF的C L下,TS = -22.22 PPM / pF。 在C L = 20pF時,TS = -8 PPM / pF。
修整靈敏度方程式(1.7)提供了關于如何為晶體選擇負載電容值的重要見解。 如果設計人員的目標是制造一個固定頻率的振蕩器(例如在微處理器應用中),那么他/她將選擇一個較大的負載電容值,例如18-22pF。 如果設計人員要拉晶振,則他/她選擇一個較小的負載電容值,例如9pF-14pF。
晶體有很多反應!
所有晶體都有許多諧振響應(見圖5)。 第一個主要回應是“基本面”。 在它的右邊,是下一個主要響應,即第三個泛音,然后是第五個泛音,依此類推。 只有奇異的泛音。 泛音響應不是基波的諧波。 根據定義,諧波是較低頻率的精確倍數。 例如,第三泛音通常位于基頻的2.8至3.2倍之間。 所以晶體有
沒有諧波,而是泛音。
檢查圖5,注意晶體在某些頻率點的行為類似于電阻,而在其他頻率區域的行為類似于電感或電容器。
連接到晶體的電路拓撲決定了在何處操作晶體。 換句話說,電路迫使晶體進入基本,并行,泛音或串聯模式。 請參閱下面的定義。

“負載電容”:晶體的頻率將取決于與晶體串聯的電容電抗。因此,設計人員必須指定將晶體校準至頻率所需的電容值。典型值在9-32 pF之間;最常見的是18-20 pF。負載電容有效地與晶體串聯放置,永遠不會跨過晶體。
“平行晶體”:一種在晶體電抗曲線的感應區域之一處校準為所需頻率的晶體。由于這是一個區域,因此設計人員必須準確地確定他/她需要晶體進行操作的區域。該區域中的精確點由負載電容的值控制。
“串聯晶體”:一種在晶體電抗曲線上的電阻點之一處校準為所需頻率的晶體。電阻點可以在基波響應或泛音響應之一上。無需指定負載電容,因為它是操作點而不是區域。
“基本晶體”:在最低的主要諧振響應下設計并校準到所需頻率的晶體。基本晶體可以校準為“系列”或“平行”。
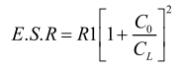
“泛音晶體”:以基本響應以外的主要響應校準到所需頻率的晶體。泛音晶體可以校準為“系列”或“平行”。 “等效串聯電阻(E.S.R)”:晶體在串聯諧振時的電阻就是運動電阻R1。在并聯諧振區域,其值增加為:

因此,E.S.R是并聯諧振區中晶體的電阻或損耗。 注意,重要的是要理解,每個晶振都能夠在串聯和并聯諧振下以基本或任何泛音模式工作。 只需將晶振制造商的校準條件與周圍電路施加到晶體端子的條件相匹配即可。
圖1顯示了晶體諧振器的等效電路。 圖1:晶體符號及其單模,1端口,晶體諧振器等效電路
在圖1中,C1,L1和R1構成了晶體諧振器的運動臂。 C 0是并聯電容,主要由晶體的電極加上支架的雜散形成。 分流電容C 0是等效電路中唯一的物理值。 該參數實際上可以使用簡單的電容計測量。 另一方面,運動臂組件(C1,L1和R1)是等效的,因此不是真實的。 請注意,此等效項僅用于基本響應,并且可以為每個泛音和偽造添加附加的運動臂。
圖1的晶體等效電路的阻抗方程為
圖2有四個關鍵事實。
首先,f s是運動電容C1抵消運動電感L1的頻率。 其次,f s稱為晶體的“串聯諧振”,用下式表示:
第三,反諧振點或并聯諧振f a,是運動電感L1與C1和C0的并聯組合諧振的地方。 第四,f a表示為
通過改變負載電容來拉動頻率
許多應用需要改變晶體的頻率。 一個示例是VCXO(壓控振蕩器),其中需要將工作頻率調諧到所需的值或在所需的電壓范圍內改變頻率。 隨著與晶體串聯的電容性負載的變化,晶體頻率被拉高。 頻率隨負載電容C L的變化表示為:
Where
f L =負載電容的頻率
f s =串聯諧振頻率
C 1 =晶體的運動電容
C o =晶體的并聯電容
注意,方程(1.4)被寫為從串聯諧振頻率到負載諧振頻率的增量。 換句話說,分數頻率從fs變為f L。
減小負載電容的值將增加晶體的頻率。 最終,將達到f a的頻率,但在晶體振蕩器中應避免使用。 這導致
(1.6)的結果是到極點的分數頻率距離,即f a至f s。 這被稱為零到極點間距,它設置了晶體總可拉性的極限。
典型拉伸曲線的(1.4)的圖形表示:
圖3:方程圖(1.4)。 典型晶體頻率牽引曲線與負載電容的關系
其中運動電容C1 = 0.01 pF,并聯電容C0 = 5 pF。 當該晶體與20 pF串聯時,該頻率比串聯諧振頻率高+ 200 PPM。
等式(1.4)相對于C L的一階導數為
晶體制造商將晶體給定的負載電容的方程式(1.7)稱為“微調靈敏度”。 圖4是“修剪靈敏度”的圖形表示。
圖4:方程(1.7)的圖。 典型的晶體微調靈敏度與負載電容的關系,其中動電容C1 = 0.01 pF,而分流電容C0 = 5 pF。
在10 pF的C L下,TS = -22.22 PPM / pF。 在C L = 20pF時,TS = -8 PPM / pF。
修整靈敏度方程式(1.7)提供了關于如何為晶體選擇負載電容值的重要見解。 如果設計人員的目標是制造一個固定頻率的振蕩器(例如在微處理器應用中),那么他/她將選擇一個較大的負載電容值,例如18-22pF。 如果設計人員要拉晶振,則他/她選擇一個較小的負載電容值,例如9pF-14pF。
晶體有很多反應!
所有晶體都有許多諧振響應(見圖5)。 第一個主要回應是“基本面”。 在它的右邊,是下一個主要響應,即第三個泛音,然后是第五個泛音,依此類推。 只有奇異的泛音。 泛音響應不是基波的諧波。 根據定義,諧波是較低頻率的精確倍數。 例如,第三泛音通常位于基頻的2.8至3.2倍之間。 所以晶體有
沒有諧波,而是泛音。
檢查圖5,注意晶體在某些頻率點的行為類似于電阻,而在其他頻率區域的行為類似于電感或電容器。
連接到晶體的電路拓撲決定了在何處操作晶體。 換句話說,電路迫使晶體進入基本,并行,泛音或串聯模式。 請參閱下面的定義。

“負載電容”:晶體的頻率將取決于與晶體串聯的電容電抗。因此,設計人員必須指定將晶體校準至頻率所需的電容值。典型值在9-32 pF之間;最常見的是18-20 pF。負載電容有效地與晶體串聯放置,永遠不會跨過晶體。
“平行晶體”:一種在晶體電抗曲線的感應區域之一處校準為所需頻率的晶體。由于這是一個區域,因此設計人員必須準確地確定他/她需要晶體進行操作的區域。該區域中的精確點由負載電容的值控制。
“串聯晶體”:一種在晶體電抗曲線上的電阻點之一處校準為所需頻率的晶體。電阻點可以在基波響應或泛音響應之一上。無需指定負載電容,因為它是操作點而不是區域。
“基本晶體”:在最低的主要諧振響應下設計并校準到所需頻率的晶體。基本晶體可以校準為“系列”或“平行”。
“泛音晶體”:以基本響應以外的主要響應校準到所需頻率的晶體。泛音晶體可以校準為“系列”或“平行”。 “等效串聯電阻(E.S.R)”:晶體在串聯諧振時的電阻就是運動電阻R1。在并聯諧振區域,其值增加為:

因此,E.S.R是并聯諧振區中晶體的電阻或損耗。 注意,重要的是要理解,每個晶振都能夠在串聯和并聯諧振下以基本或任何泛音模式工作。 只需將晶振制造商的校準條件與周圍電路施加到晶體端子的條件相匹配即可。
正在載入評論數據...
此文關鍵字: crystal resonators晶體諧振器
相關資訊
- [2025-06-24]美國Greenray格林雷超低相位噪聲...
- [2024-05-31]bliley technologies inc公司介...
- [2024-05-22]ConnorWinfield石英晶體CS-044-...
- [2024-05-21]Mmdcomp模擬MSH302548AH-18.432...
- [2024-03-14]EV電車充電器中不同類型FUJI晶振...
- [2024-03-14]享譽全球的富士晶振公司歷史沿革...
- [2024-03-12]Crystek公司表現出色的CVCO55FL...
- [2024-03-08]臺灣業界的領先者Taitien晶振公...





業務經理